Le seguenti formule sono valide per tutte le molle a tazza:

1. Calculation Constants

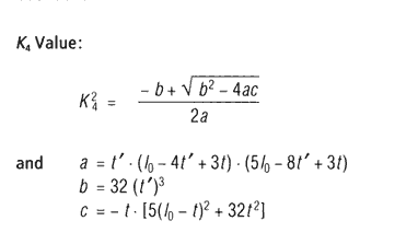
For K4 - see Topic (Disc Spring Variation)

2. Spring Load


3. Spring Rate


4. Spring Work


5. Calculated Stress


Positive (+) Stresses are Tensile Stresses
Negative (-) Stresses are Compressive Stresses
For those disc springs listed in the DIN 2093, using spring steel with a modulus of Elasticity = 206,000 N/mm2 and µ = 0.3 will provide calculeted load values which are very close to the actual. Using a value of 0.91 for 1-µ2 for materials with different µ values will provide a very close approximation of the actual values. This is in complete accordance with the disc spring theory.
Disc Springs without Load-Bearing Surfaces
For disc springs without load-bearing surfaces, the value of K4 is 1.
Disc Springs with Load-Bearing Surfaces and with Reduced Material Thickness t'
Machined load-bearing surfaces on the disc spring result in an increase in the load due to the shortened lever arm at the load application point. To compensate for this phenomenon, the material thickness of the spring is reduced from t to t' so that, at the Dl N 2093 required test value of s = 0.75 ho' the load obtained is the same as for the equivalent disc spring without the load-bearing surfaces.
Material thickness reduction factors:
Table 3

In all of the disc spring calculation formulae, the following substitutions can be made:
t is replaced by t?
ho is replaced by h?o = Io - t'
Disc Springs with Load-Bearing Surfaces to cb Works Standard, without Reduced Material Thickness ( t = t')
Disc springs with load-bearing surfaces have a shortened lever arm, resulting in a load which is approximately 15 % higher at s = 0.75 ho when compared to an equivalent disc spring without a load-bearing surface. On the basis of these springs having the required load-bearing surface, Christian Bauer includes these particular disc springs in the Group 3 classification.

Special or Custom Made Disc Springs With Load-Bearing Surfaces (t= t')
For special or custom made disc springs with load- bearing surfaces, a value of K4 must be selected so that the width of the load-bearing surface is technically realistic. Over many years of experience with very large numbers of disc springs, we have determined that the value of K4 should be in the range of 1.05 to 1.1 5.
Slotted Disc Springs
The method of calculating slotted disc springs is discussed under Section 10.3




















